CALCUL EXPRESIE

 


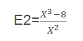
 Deschideti fisierul si creati o funcție utilizator care sã permitã calculul  urmatoarei expresii.                e